Alexx855 Опубликовано 31 июля, 2023 Опубликовано 31 июля, 2023 Сделаю к-но. Если представить, что я вот только выпил последний турик, какие бы ваши действия в ближайшие дни/недели по тренингу, питанию и "фарме"? Я понимаю что соло турик без теста это была дурь, уже есть как есть, но вот как с нулевым тестом на выходе дальше тренить 3-4 дня в неделю плюс кардио и не пожечь все, даже с мощным бжу, тут никак не пойму.
OlegRO Опубликовано 1 августа, 2023 Опубликовано 1 августа, 2023 какие бы ваши действия в ближайшие дни/недели по тренингу, питанию и "фарме"? да никаких без анализов точно никаких плюс кардио и не пожечь еще и кардио на наборе...нах
Outlawif Опубликовано 1 августа, 2023 Опубликовано 1 августа, 2023 никак не пойму А что тут понимать. Это просто работает не так, как очевидно ты себе представляешь.
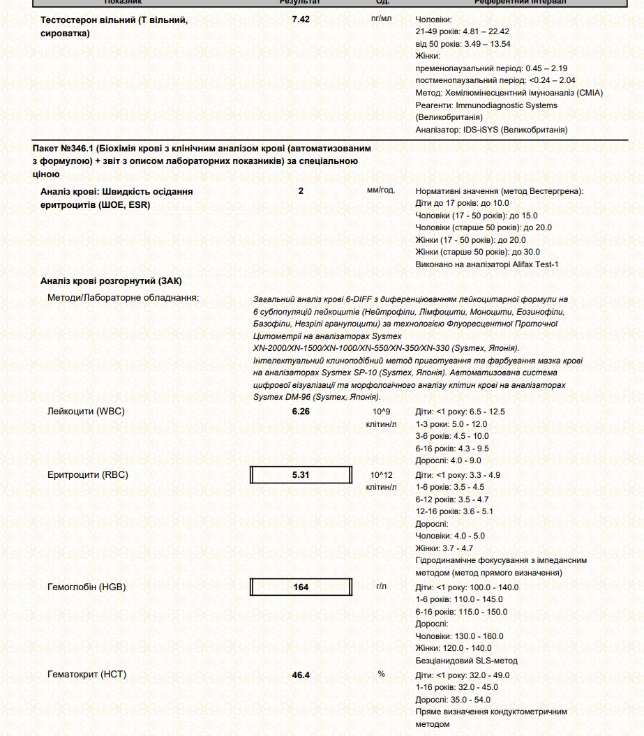
Alexx855 Опубликовано 6 августа, 2023 Опубликовано 6 августа, 2023 Привет, прошло 12 дней с крайнего приема турика соло, закидывал фарестон, цинк и трибулус, помимо прочих витаминов. За 12 дней было 6 тренировок, с пониженной интенсивностью. Масса тела упала примерно с 80 до 78.5 кг. Прикрепил анализы, может будет любопытно, оба вида теста хоть и не ниже минимальных норм, но все же печальные, с липопротеидами тоже все понятно, еще смутил почти дефицит витамина Д, как такое могло получится, неясно.
OlegRO Опубликовано 6 августа, 2023 Опубликовано 6 августа, 2023 и без этой травы были бы те же результаты после такого курса, думаю фарестон искажает анализы смутил почти дефицит витамина Д, как такое могло получится, неясно. где-то тут вроде ролик, что его (уровень) не определяют верно, и определяют не то, как-то так
Terror Опубликовано 6 августа, 2023 Опубликовано 6 августа, 2023 прошло 12 дней с крайнего приема турика соло А что ты хотел увидеть спустя 12 дней? Почему сдавал именно через этот промежуток времени, а не выждал, к примеру, хотя бы месяц?
Outlawif Опубликовано 6 августа, 2023 Опубликовано 6 августа, 2023 Больше всего интересно как так можно было ушатать липиды коротким курсом турика соло. И что с печенью. Либо анализы сдавал непойми как, либо в этой траве не трава. Мочевина еще. Для подагры мало, почки? Протеина емнул перед анализами, чтоб белкоковое окно не закрылось случайно? Любопытно, что куча параметров не в норме, но из всего вороха заинтересовал только тестостерон, который в норме. Есть анорексия - это когда весишь мало, но себе кажешься жирным и худеешь до стостояния скелета. Есть обратное расстройство, забыл название, когда кажешься себе слишком мелким и все время набираешь вес пока не превратишься в борова. А у любителей качалки, которые открыли для себя лаборатории, часто развивается боязнь низкого теста. Даже если оно в норме, оно все время кажется слишком низким, они страшно озабочены чтобы стало побольше. Я думаю надо в ВОЗ написать письмо, пусть внесут в МКБ10 новую нозологическую единицу.
Alexx855 Опубликовано 6 августа, 2023 Опубликовано 6 августа, 2023 Анализы сдал когда подвернулось время, у меня немного смещен график из-за работы, и утром часто еще сплю, сдам еще раз через 2 недели. Вообще жалею, что не сдал до курса, и на курсе где-то неделю на 4-ю, было бы интересно глянуть, ну да ладно. Травка, которую пью, выглядит так https://s3.images-iherb.com/unn/unn03971/l/17.jpg Липиды, да, но возможно они у меня и до были не очень(анализы сдавал на голодный желудок), вот результаты ровно двухгодичной давности, у меня искривление желчного, может из-за этого - Я в это время очень сильно увлекался высокоинтенсивным интервальным тренингом(HIIT), вес был в районе 71-72кг. Гляну что будет по анализам через пару недель. Немного отвлеченный вопрос, стоит ли большую часть бжу потреблять в первой половине дня, а вечером только жидкость и чай, или это не имеет значения?
OlegRO Опубликовано 6 августа, 2023 Опубликовано 6 августа, 2023 стоит ли большую часть бжу потреблять в первой половине дня, а вечером только жидкость и чай, или это не имеет значения? чтобы что?
Outlawif Опубликовано 7 августа, 2023 Опубликовано 7 августа, 2023 Липиды, да, но возможно они у меня и до были не очен И чем они не очень? КА 2.5, лпвп 1.24, да это просто песня а не липидограмма. Что там лаба желтеньким малюет это у нее какие-то проблемы.
Рекомендуемые сообщения
Создайте учетную запись или войдите, чтобы комментировать
Вы должны быть пользователем, чтобы оставить комментарий
Создать аккаунт
Зарегистрируйтесь для получения аккаунта. Это просто!
Зарегистрировать аккаунтВойти
Уже зарегистрированы? Войдите здесь.
Войти