Перейти до публікації

Подвал, Малоизвестные Конторы, Разлив На Дому И Прочий Андер


Рекомендовані повідомлення

Опубліковано:

не надо путать грешное с праведным. я например могу каждое лекарство, которое покупаю в аптеке, заказывать в китае в виде порошка. если не считать доставки, может быть будет даже какая - то экономия по деньгам. но я же этого не делаю.

 

по поводу геморов весь цикл производства (заварки) можно разбить на стадии

- поиск сырья, переговоры с поставщиками

- собственно доставка из китая в украину (таможня блеать!)

- уголовное дело и суд за контрабанду особо опасных веществ поиск вспомогательных веществ - этилолеат ЭО бензил вензоат ББ бензиловый спирт БС, БА стерильный фильтр 0,2 мкм или просто эффективный фильтр, скороварка, стерильные баночки для закруток (резиновая крышка, алюминиевая крышка), кримпер... чистое рабочее место, время

- собственно приготовление- растворение, фильтрация, закатка, стерилизация

 

поиск и переговоры - китайцев очень много, они все пишут пишут много одинаковых писем в которых невозможно разобраться. цены очень разные, иногда в десять раз могут отличаться. цена доставки в среднем 50 usd через ems. там где я брал 30 usd, бывает и по 60 и по 70. я безуспешно пытался уломать их отправить через почту китая - это дольше, в среднем 14 дней до украины. но это во первых намного дешевле (не знаю точно, но в районе 5 usd с трек номером)

но главное это намного надежнее. на ems они приносят посылку "своим людям" и они ее кое-как пакуют и отправляют. естественно ни о какой скрытности нет и речи. посылка приходит на нашу таможню, где "своих людей" нет, и тут же палится что там в нутри. на таможне есть рентгеновские сканнеры, и все ems посылки из китая и подобных стран на них просвечивают. так что пакетик с порошком будет обнаружен в 100% случаев. на рентгене это видно не просто хорошо, а так отчетливо, как на ладони.

посылок обычной почты намного больше, возможно их не всех смотрят, и не так тщательно. но главное, китайцу придется очень хорошо постараться и замаскировать вещество как следует, чтобы его приняли на почте китая. вот поэтому они и тупят и не хотят отправлять обычной почтой

еще у китайцев можно спрашивать сертификаты и анализы на стероиды, они могут прислать или просто бумажку COA там где написано что все соответствует, дата, подпись аудитора и печать, либо то же но с хроматогафией. это с одной стороны ни о чем не говорит, но с другой - они могут хоть письмо от папы римского вложить. зато они хоть знают что такое сертификат соответствия. иногда могут прислать фальшивый ямр спектр. но это уже курьез

забегая наперед, скажу что у них же можно купить ЭО, ББ и БС. и даже нужно, так как у нас я так и не нашел где их можно купить

на сайтах - торговых площадках китая, таких как алибаба и lookchem.com у поставщиков есть рейтинги - голд, аудитед, верифаед и так далее. в общем логика такая - в китае на заводе стероиды реально стоят копейки. если ты готов покупать десятки килограмм в месяц тебе там будут очень рады. соответственно продавцу-ритейлеру очень выгодно увеличивать оборот, в идеале - чуть ли не отдавая половину товара за себестоимость, только чтобы выйти на величину минимального заказа на заводе. то есть, если у чувака есть стероид - он хочет как можно скорее от него избавиться чтобы купить новый на заводе и продолжить контрактное сотрудничество

хотя среди китайцев попадается огромное количество кидал, для которых взять деньги и упасть на мороз в порядке вещей (для некоторых украинцев тоже)

в общем мне повезло с первого раза. китаец сделал скидку, быстро отправил. после того как таможня вернула посылку - выслал второй раз за свой счет.

после того как я получил посылку и написал ему что метриболон лажа и что мне пришлось платить взятку 50 usd он пообещал вернуть 100 баков на следующем большом заказе

  • Відповіді 452
  • Створено
  • Остання відповідь

Кращі автори в цій темі

  • wolf

    31

  • XXR XXX

    29

  • stalker

    28

  • Last Natural

    27

Кращі автори в цій темі

Опубліковано:
после того как я получил посылку и написал ему что метриболон лажа и что мне пришлось платить взятку 50 usd он пообещал вернуть 100 баков на следующем большом заказе

 

А как узнать, что берешь именно у человека, приближенного к заводу, а не у перекупщика, который бадяжит или парит фейк?

  • 4 тижні потому...
Опубліковано:
Показать

А как узнать, что берешь именно у человека, приближенного к заводу, а не у перекупщика, который бадяжит или парит фейк?

 

рейтинг продавца на lookchem, на алибабе, обратная связь с продавцом - чем он ближе к заводу, тем быстрее и больше информации о продукте он может предоставить. плюс они еще очень любят скидывать фотки посылок которые отправляют, с порошками в пачках от мыла и китайского арахиса)). как по мне, можно попасть на продавца - кидалу, который просто получит деньги и пропадет, или в крайнем случае вышлет херню какую-то. если же у продавца уже есть стероиды, то он их заинтересован продать а не разбодяжить.

в случае с моим метриболоном я уверен на 100% что это не он его бодяжил, а получил такой с завода. насколько я установил, 90% в нем метилдиенолона, который китайцы на заводе очевидно хотели окислить DDQ до метилтриенолона. успех этой операции был невелик - всего 10% конченого продукта метриболона, который однозначно присутствует в моем порошке. сам торговец в жизни не стал бы это бадяжить. во-первых метилдиенолон не коммерческий продукт, и во вторых между этими веществами есть генетическая связь, о которой не мог знать торговец

 

Показать
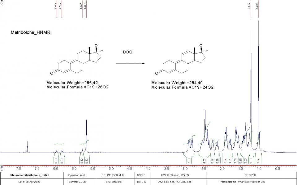
Metribolone_HNMR.jpg

 

вот это ямр вещества. как видно по структуре, у исходного метилдиенолона только 1 алкеновый протон, который соответствует интенсивному сигналу на 5.66. у метриболона же 3 алкеновых протона, первый из которых близко к соответствующему сигналу диенолона - 5.77, а два подальше - 6.33 и 6.46. два интенсивных одиночных сигнала 1.01 и 1.22 - это две метилные СН3 группы, подтверждающие структуру. остальные алифатические сигналы тоже полностью подтверждают предложенную структуру

 

Metribolone_LCMS.PDF

это данные жидкостной хроматографии. справа написано что соотношение компонентов 95-5%, но данные могут быть неточными из-за перекрывания пиков.

на масс-спектре виден интенсивный молекулярный ион весом 287 который соответствует метилдиенолону (286+1 масса протона для позитивной ионизации) и слабый сигнал молекулярного иона 285 - метриболона (284+1)

Опубліковано:

а ты писарь качаешся вапще?

Опубліковано:
Показать

а ты писарь качаешся вапще?

 

если человек занимается наукой или просто умный, это что автоматически означает что он не может качаться?

Опубліковано:
если человек занимается наукой или просто умный, это что автоматически означает что он не может качаться?

 

да, а ты не знал?

Опубліковано:
если человек занимается наукой или просто умный, это что автоматически означает что он не может качаться?

 

да ты просто очень умный, просто через чур))

вычислять качество продавца СЫРЬЯ для фармакологических препаратов по алибабам :laugh1:

так еще и по обратной связи, это типа отвечает - молодец, хороший продавец?не отвечают - падло и кидала?а если супер быстро отвечает, то вообще +20 к карме, если от компа сутками не отходит еще +10 к карме?

щито, щито?быстро отвечает, значить близко к заводу?ЩИТОООО?ты думаешь, если ты говоришь ему "эй китаец, скину фотку завода", он тебе скидывает ее и ты решаешь, что он на завод сбегал???а если """"сертификат"""" просишь, а он тебе его кидает через час, то ты думаешь, что он сбегал на завод?щас лопну))) не могу представить ситуации, каким образом ты вообще можешь вычислить был ли тот киец хоть раз в жизни вообще хоть на одном заводе или нет?тебе могу зуб дать, что там сидят только сраные перекупщики, а попугаи, которые отсылают по 5грамм...если ты думаешь, что они серьезные игроки в этом деле, то ты очень и очень печален)))

это аргумент, если кытаец имеет "стероид"(как меня всегда умиляет, когда ты сырье называешь стероидом хД, мышка у тебя наверно зовется компьютером Ы), то он его намерен продать, а не разбадяжить.блин, не поспоришь.чеж ускоглазому с какой то алибабы/алиэкспреса и тд, вместо 500 тыс $, заработать всего 200 тыс $, АРГУМЕНТИЩЕ, как и все твои умные выводы)))

Опубліковано:
Показать

тебе могу зуб дать, что там сидят только сраные перекупщики

 

тот китаец, что выслал посыль мне 100% ее даже в глаза не видел

потому что он сидит в городе вухан и деньги я туда же слал. а посылка шла с шенженя

 

но лучше способа чем вот так гадать я не нашел за два месяца переписки с десятками китайцев

и способ этот таки сработал - я купил даже по китайским меркам очень дешевые стероиды. и этот китаец меня не кинул

Опубліковано:
если человек занимается наукой или просто умный, это что автоматически означает что он не может качаться?

однозначно пиши

мне лично интересно

уточню

интересно не про китайцАв

а про всякие там графики спектры и дифузии и хим реакции

я как химик ,химию люблю

Опубліковано:
тот китаец, что выслал посыль мне 100% ее даже в глаза не видел

потому что он сидит в городе вухан и деньги я туда же слал. а посылка шла с шенженя

 

но лучше способа чем вот так гадать я не нашел за два месяца переписки с десятками китайцев

и способ этот таки сработал - я купил даже по китайским меркам очень дешевые стероиды. и этот китаец меня не кинул

 

какая разница куда ты слал деньги и где он сидит?каким образом это влияет на то, что он с завода тебе слал сырье и что он вообще завод какой то когда то видел?а не что он какой то перекупщик, мелкая шавка, торгующая на алибабах сырьем по писят граммов?

тебе вопрос задали конкретный, после твоих описываний, как круто ты купил "стероид" с огромнейшего завода в китае, где мега умные химики, ядерщики, атомщики трудятся над созданием этого "стероида".ты даешь ответ: по рейтингу на алибабе :ppc: , по скорости ответов :ppc: , чем ближе он к заводу тем быстрее отвечает на вопросы по стероидам :ppc: .вот серьезно, ты адекватный?

вот у тебя беда, ты то, что как бы думаешь,(даже где наверно сомневаешься), что тебе кажется, пишешь так, как будто это состоявшийся факт и он даже не оговаривается.ты пиши "наверно", "мне кажется", "я не уверен", "я так думаю" и тд, не вводи людей в заблуждение своими постами

Створіть акаунт або увійдіть у нього для коментування

Ви маєте бути користувачем, щоб залишити коментар

Створити акаунт

Зареєструйтеся для отримання акаунту. Це просто!

Зареєструвати акаунт

Увійти

Вже зареєстровані? Увійдіть тут.

Увійти зараз
×
×
  • Створити...