MaJ0r Опубликовано 11 декабря, 2017 Опубликовано 11 декабря, 2017 Андрей, напомни плиз как этот анализ называется в Синево, что ты сдавал? Жру сейчас усиленно никотинку, думаю надо пойти сдать попозже
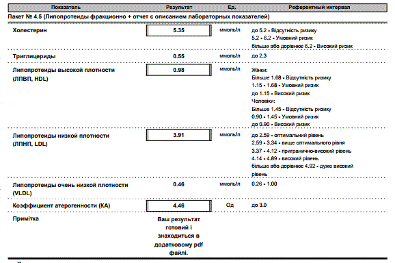
andreyyy Опубликовано 11 декабря, 2017 Опубликовано 11 декабря, 2017 Андрей, напомни плиз как этот анализ называется в Синево, что ты сдавал? Жру сейчас усиленно никотинку, думаю надо пойти сдать попозже Синэво Пакет № 4.5 Липопротеиды фракционно.
gunR Опубликовано 11 декабря, 2017 Опубликовано 11 декабря, 2017 Ожидал хуже. Показать Аналогичные анализы по ЛПНП и ЛПВП Никотинку пить и Омегу-3?
andreyyy Опубликовано 11 декабря, 2017 Опубликовано 11 декабря, 2017 Аналогичные анализы по ЛПНП и ЛПВП Никотинку пить и Омегу-3? Видимо, да. У меня с ЛПВП проблема. Видимо, акцент на омегу и всякие масла нужен. Я скромно, по 2 капсулки пью сейчас. Причем там 850 мг., а в них, как я понял, омеги-3 30% Рыбий жир мало сала ел?)) Выходит что так. Хотя за день до анализа немного ел сальца )
$l@ventiy Опубликовано 11 декабря, 2017 Опубликовано 11 декабря, 2017 Видимо, да. У меня с ЛПВП проблема. Видимо, акцент на омегу и всякие масла нужен. Я скромно, по 2 капсулки пью сейчас. Причем там 850 мг., а в них, как я понял, омеги-3 30% Рыбий жир не помню уже где читал, что для спортсмена весом в 100 кг надо 3г омеги 3 в сутки.
andreyyy Опубликовано 11 декабря, 2017 Опубликовано 11 декабря, 2017 не помню уже где читал, что для спортсмена весом в 100 кг надо 3г омеги 3 в сутки. так я думаю, тут ключевое не "спортсмен" и не "100 кг", а "курсящий". На потом у меня другая банка, по-мощней есть. По 950 мг. чистой омеги-3. Перейду на 2 шт. тех
$l@ventiy Опубликовано 11 декабря, 2017 Опубликовано 11 декабря, 2017 так я думаю, тут ключевое не "спортсмен" и не "100 кг", а "курсящий". На потом у меня другая банка, по-мощней есть. По 950 мг. чистой омеги-3. Перейду на 2 шт. тех говорим "спортсмен", подразумеваем "курсящий"))) а вес конечно же играет роль, т.к. важна же концентрация вещества в организме. так что по 3 кушай, не прогадаешь)
vladislav-borodai Опубликовано 12 декабря, 2017 Опубликовано 12 декабря, 2017 День добрый ! Идет курс тестостерон ципионат 600 мг и 300 мг трен-э, оба канада. + туринабол по 40 мг в день . Идет 7-ая неделя курса , уже как 2 недели странное либидо какое-то , паралельно пропиваю 3-4 таблетки по 1мг анастразола. Сейчас собираюсь начать проставлять гонаду паралельно . Буквально недавно сдал анализы на эстрадиол и пролактин , может ли быть проблема в этом ? Буду благодарен за подсказки.
Рекомендуемые сообщения
Создайте учетную запись или войдите, чтобы комментировать
Вы должны быть пользователем, чтобы оставить комментарий
Создать аккаунт
Зарегистрируйтесь для получения аккаунта. Это просто!
Зарегистрировать аккаунтВойти
Уже зарегистрированы? Войдите здесь.
Войти